Límites al infinito
- PIU MX Academy
- 16 abr 2020
- 1 Min. de lectura
Actualizado: 30 abr 2020
Cuando en un límite, que tienda al infinito, resulta alguna indeterminación, es necesario modificarlo para que no exista.

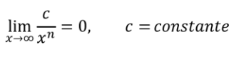
Un método para eliminar la indeterminación en un límite que tiende al infinito, es dividiendo todos los términos entre la variable con el mayor exponente. Posteriormente se sustituye el valor de x por infinito, y donde se encuentre un número dividido por infinito, será igualado a cero.








Comentarios